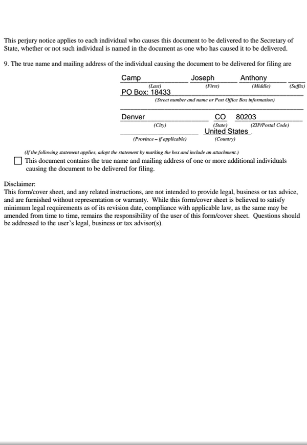
It’s even more unlikely that an ex-felon can register a security company claiming the address of a youth hostel as the location of his office.
We waited until law enforcement was notified of JoJo’s whereabouts and his activities in case Denver LE agrees with us.

A little crowded for an office don’t you think?









